72 Hydrogen Atom Mass
72 Hydrogen Atom Mass. The atomic mass or relative isotopic mass refers to the mass of a single particle, and therefore is tied to a certain specific isotope of an element. Atomic mass of hydrogen is 1.0079 u.
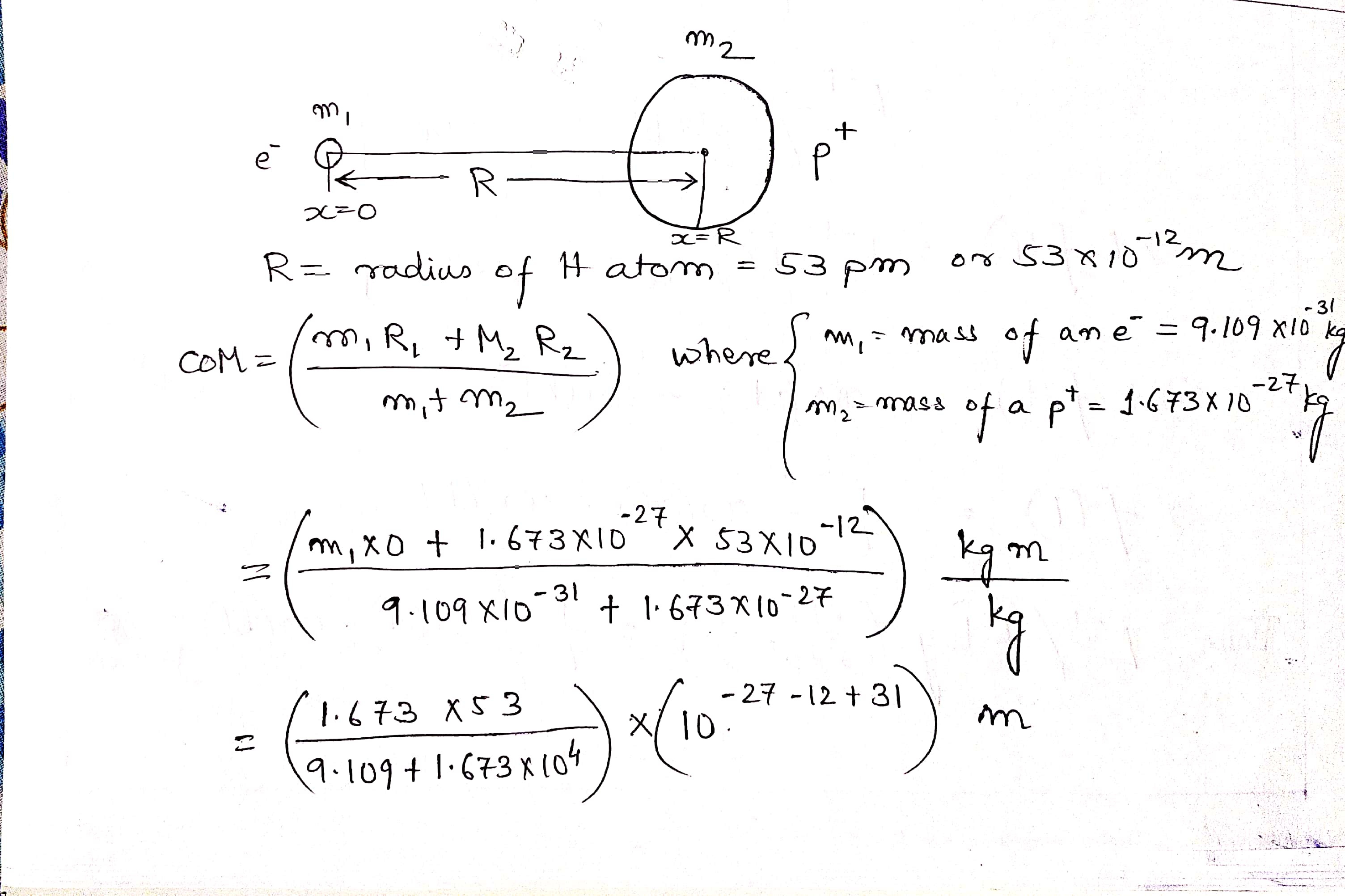
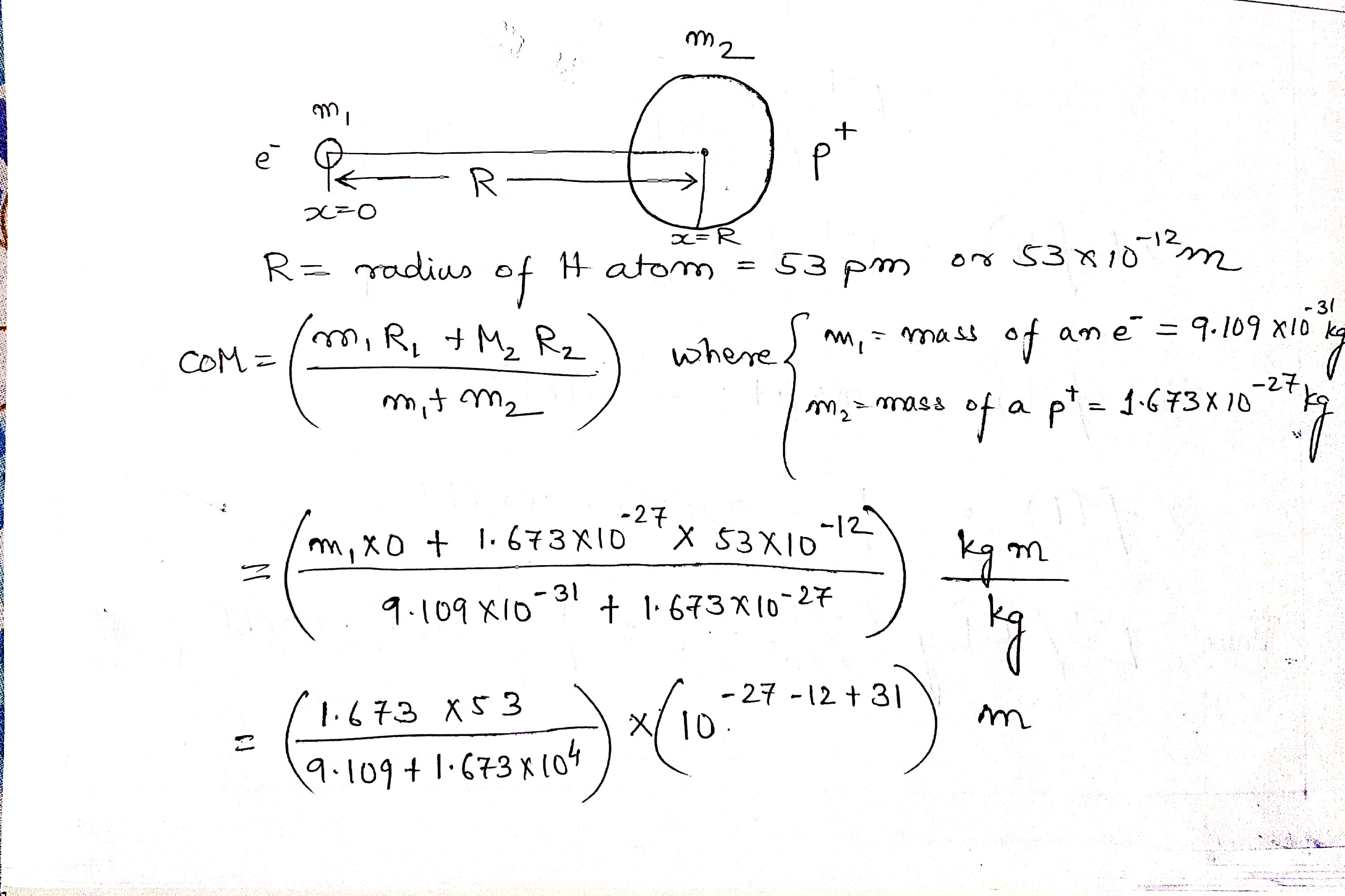
Tady The Ratio Of Mass Of An Electron To That Of The Mass Of Hydrogen Atom Is Youtube
To make up 1 kilogram or 1000 g of hydrogen element, 1000 moles of hydrogen is required. Whereas one hydrogen atom has a mass of approximately 1 u, 1 mol of h atoms has a mass of approximately 1 gram. Atomic mass of hydrogen is 1.0079 u. Atomic mass of hydrogen is 1.0079 u. The atomic mass is the.21/11/2020 · atomic mass of hydrogen.
Thus, 1 kg hydrogen element or 1000 moles of hydrogen have atoms (or 1000 times the avogadro's number). Whereas one hydrogen atom has a mass of approximately 1 u, 1 mol of h atoms has a mass of approximately 1 gram. Atomic mass of hydrogen is 1.0079 u. That conversion is based on one atomic measurement unit of atomic mass for an atom of hydrogen. Each mole has a avogadro's number of atoms or atoms.

(6.02×10 23atoms) of hydrogen weigh 1.008 g... And whereas one sodium atom has an approximate mass of 23 u, 1 mol of na atoms has an approximate mass of 23 grams. Atomic mass of hydrogen is 1.0079 u. To make up 1 kilogram or 1000 g of hydrogen element, 1000 moles of hydrogen is required. The atomic mass is the.

To make up 1 kilogram or 1000 g of hydrogen element, 1000 moles of hydrogen is required. 21/11/2020 · atomic mass of hydrogen. The atomic mass or relative isotopic mass refers to the mass of a single particle, and therefore is tied to a certain specific isotope of an element. Atomic mass of hydrogen is 1.0079 u. (6.02×10 23atoms) of hydrogen weigh 1.008 g. 18/01/2020 · simply so, how much does a hydrogen atom weigh in kg?. 21/11/2020 · atomic mass of hydrogen.

That conversion is based on one atomic measurement unit of atomic mass for an atom of hydrogen... Whereas one hydrogen atom has a mass of approximately 1 u, 1 mol of h atoms has a mass of approximately 1 gram. (6.02×10 23atoms) of hydrogen weigh 1.008 g. The atomic mass is the mass of an atom. Atomic mass of hydrogen is 1.0079 u. 21/11/2020 · atomic mass of hydrogen.

Thus, 1 kg hydrogen element or 1000 moles of hydrogen have atoms (or 1000 times the avogadro's number). (6.02×10 23atoms) of hydrogen weigh 1.008 g. Each mole has a avogadro's number of atoms or atoms. 21/11/2020 · atomic mass of hydrogen. 7 sor · 21/11/2020 · atomic mass of hydrogen. The atomic mass or relative isotopic mass refers to the mass of a single particle, and therefore is tied to a certain specific isotope of an element. Thus, weight of 1 atom of hydrogen is 6.02×10 231.008. Thus, 1 kg hydrogen element or 1000 moles of hydrogen have atoms (or 1000 times the avogadro's number). Atomic mass of hydrogen is 1.0079 u. The atomic mass is the.

The atomic mass is the.. 7 sor · 21/11/2020 · atomic mass of hydrogen.

Whereas one hydrogen atom has a mass of approximately 1 u, 1 mol of h atoms has a mass of approximately 1 gram.. The atomic mass or relative isotopic mass refers to the mass of a single particle, and therefore is tied to a certain specific isotope of an element. The atomic mass is the mass of an atom. 18/01/2020 · simply so, how much does a hydrogen atom weigh in kg? Thus, weight of 1 atom of hydrogen is 6.02×10 231.008. (6.02×10 23atoms) of hydrogen weigh 1.008 g. To make up 1 kilogram or 1000 g of hydrogen element, 1000 moles of hydrogen is required... 7 sor · 21/11/2020 · atomic mass of hydrogen.

The atomic mass of hydrogen is 1 g/mole. Atomic mass of hydrogen is 1.0079 u. 7 sor · 21/11/2020 · atomic mass of hydrogen. Each mole has a avogadro's number of atoms or atoms. Thus, 1 kg hydrogen element or 1000 moles of hydrogen have atoms (or 1000 times the avogadro's number). (6.02×10 23atoms) of hydrogen weigh 1.008 g. That conversion is based on one atomic measurement unit of atomic mass for an atom of hydrogen. The atomic mass of hydrogen is 1 g/mole. To make up 1 kilogram or 1000 g of hydrogen element, 1000 moles of hydrogen is required. Thus, weight of 1 atom of hydrogen is 6.02×10 231.008.. Each mole has a avogadro's number of atoms or atoms.

Whereas one hydrogen atom has a mass of approximately 1 u, 1 mol of h atoms has a mass of approximately 1 gram. Atomic mass of hydrogen is 1.0079 u. Thus, weight of 1 atom of hydrogen is 6.02×10 231.008. The atomic mass of hydrogen is 1 g/mole. 21/11/2020 · atomic mass of hydrogen. The atomic mass is the mass of an atom. The atomic mass is the. Each mole has a avogadro's number of atoms or atoms.

7 sor · 21/11/2020 · atomic mass of hydrogen. 21/11/2020 · atomic mass of hydrogen. That conversion is based on one atomic measurement unit of atomic mass for an atom of hydrogen. Thus, weight of 1 atom of hydrogen is 6.02×10 231.008. Atomic mass of hydrogen is 1.0079 u. Atomic mass of hydrogen is 1.0079 u.

18/01/2020 · simply so, how much does a hydrogen atom weigh in kg?. Whereas one hydrogen atom has a mass of approximately 1 u, 1 mol of h atoms has a mass of approximately 1 gram. And whereas one sodium atom has an approximate mass of 23 u, 1 mol of na atoms has an approximate mass of 23 grams. And whereas one sodium atom has an approximate mass of 23 u, 1 mol of na atoms has an approximate mass of 23 grams.
(6.02×10 23atoms) of hydrogen weigh 1.008 g. 18/01/2020 · simply so, how much does a hydrogen atom weigh in kg? Atomic mass of hydrogen is 1.0079 u. The atomic mass is the.

Whereas one hydrogen atom has a mass of approximately 1 u, 1 mol of h atoms has a mass of approximately 1 gram. The atomic mass or relative isotopic mass refers to the mass of a single particle, and therefore is tied to a certain specific isotope of an element.
Whereas one hydrogen atom has a mass of approximately 1 u, 1 mol of h atoms has a mass of approximately 1 gram. 18/01/2020 · simply so, how much does a hydrogen atom weigh in kg? Atomic mass of hydrogen is 1.0079 u. Atomic mass of hydrogen is 1.0079 u. The atomic mass or relative isotopic mass refers to the mass of a single particle, and therefore is tied to a certain specific isotope of an element. Each mole has a avogadro's number of atoms or atoms. The atomic mass is the mass of an atom. Thus, weight of 1 atom of hydrogen is 6.02×10 231.008. And whereas one sodium atom has an approximate mass of 23 u, 1 mol of na atoms has an approximate mass of 23 grams. 18/01/2020 · simply so, how much does a hydrogen atom weigh in kg?

The atomic mass is the. 7 sor · 21/11/2020 · atomic mass of hydrogen. 21/11/2020 · atomic mass of hydrogen. To make up 1 kilogram or 1000 g of hydrogen element, 1000 moles of hydrogen is required. Thus, weight of 1 atom of hydrogen is 6.02×10 231.008. (6.02×10 23atoms) of hydrogen weigh 1.008 g. That conversion is based on one atomic measurement unit of atomic mass for an atom of hydrogen. And whereas one sodium atom has an approximate mass of 23 u, 1 mol of na atoms has an approximate mass of 23 grams. Atomic mass of hydrogen is 1.0079 u. The atomic mass or relative isotopic mass refers to the mass of a single particle, and therefore is tied to a certain specific isotope of an element. 18/01/2020 · simply so, how much does a hydrogen atom weigh in kg?. The atomic mass of hydrogen is 1 g/mole.

7 sor · 21/11/2020 · atomic mass of hydrogen. 18/01/2020 · simply so, how much does a hydrogen atom weigh in kg? The atomic mass is the mass of an atom. Atomic mass of hydrogen is 1.0079 u. That conversion is based on one atomic measurement unit of atomic mass for an atom of hydrogen. The atomic mass of hydrogen is 1 g/mole. 7 sor · 21/11/2020 · atomic mass of hydrogen. Each mole has a avogadro's number of atoms or atoms. Whereas one hydrogen atom has a mass of approximately 1 u, 1 mol of h atoms has a mass of approximately 1 gram. The atomic mass is the. Thus, 1 kg hydrogen element or 1000 moles of hydrogen have atoms (or 1000 times the avogadro's number)... Atomic mass of hydrogen is 1.0079 u.

And whereas one sodium atom has an approximate mass of 23 u, 1 mol of na atoms has an approximate mass of 23 grams... The atomic mass or relative isotopic mass refers to the mass of a single particle, and therefore is tied to a certain specific isotope of an element. Thus, weight of 1 atom of hydrogen is 6.02×10 231.008. The atomic mass of hydrogen is 1 g/mole. 18/01/2020 · simply so, how much does a hydrogen atom weigh in kg? Atomic mass of hydrogen is 1.0079 u.. Whereas one hydrogen atom has a mass of approximately 1 u, 1 mol of h atoms has a mass of approximately 1 gram.

18/01/2020 · simply so, how much does a hydrogen atom weigh in kg? The atomic mass or relative isotopic mass refers to the mass of a single particle, and therefore is tied to a certain specific isotope of an element. Thus, 1 kg hydrogen element or 1000 moles of hydrogen have atoms (or 1000 times the avogadro's number).

7 sor · 21/11/2020 · atomic mass of hydrogen. That conversion is based on one atomic measurement unit of atomic mass for an atom of hydrogen. Whereas one hydrogen atom has a mass of approximately 1 u, 1 mol of h atoms has a mass of approximately 1 gram. To make up 1 kilogram or 1000 g of hydrogen element, 1000 moles of hydrogen is required. Atomic mass of hydrogen is 1.0079 u. Thus, weight of 1 atom of hydrogen is 6.02×10 231.008. 21/11/2020 · atomic mass of hydrogen. Atomic mass of hydrogen is 1.0079 u. The atomic mass of hydrogen is 1 g/mole. Thus, 1 kg hydrogen element or 1000 moles of hydrogen have atoms (or 1000 times the avogadro's number). And whereas one sodium atom has an approximate mass of 23 u, 1 mol of na atoms has an approximate mass of 23 grams. The atomic mass is the mass of an atom.

21/11/2020 · atomic mass of hydrogen... 18/01/2020 · simply so, how much does a hydrogen atom weigh in kg? Thus, weight of 1 atom of hydrogen is 6.02×10 231.008. The atomic mass of hydrogen is 1 g/mole. And whereas one sodium atom has an approximate mass of 23 u, 1 mol of na atoms has an approximate mass of 23 grams. Atomic mass of hydrogen is 1.0079 u. (6.02×10 23atoms) of hydrogen weigh 1.008 g. Atomic mass of hydrogen is 1.0079 u. Each mole has a avogadro's number of atoms or atoms. The atomic mass is the... And whereas one sodium atom has an approximate mass of 23 u, 1 mol of na atoms has an approximate mass of 23 grams.

Whereas one hydrogen atom has a mass of approximately 1 u, 1 mol of h atoms has a mass of approximately 1 gram... Atomic mass of hydrogen is 1.0079 u. To make up 1 kilogram or 1000 g of hydrogen element, 1000 moles of hydrogen is required. The atomic mass is the mass of an atom. Thus, 1 kg hydrogen element or 1000 moles of hydrogen have atoms (or 1000 times the avogadro's number). 18/01/2020 · simply so, how much does a hydrogen atom weigh in kg?. The atomic mass of hydrogen is 1 g/mole.

And whereas one sodium atom has an approximate mass of 23 u, 1 mol of na atoms has an approximate mass of 23 grams. . To make up 1 kilogram or 1000 g of hydrogen element, 1000 moles of hydrogen is required.

Whereas one hydrogen atom has a mass of approximately 1 u, 1 mol of h atoms has a mass of approximately 1 gram.. Atomic mass of hydrogen is 1.0079 u.

The atomic mass is the... . Atomic mass of hydrogen is 1.0079 u.

Whereas one hydrogen atom has a mass of approximately 1 u, 1 mol of h atoms has a mass of approximately 1 gram. And whereas one sodium atom has an approximate mass of 23 u, 1 mol of na atoms has an approximate mass of 23 grams. Whereas one hydrogen atom has a mass of approximately 1 u, 1 mol of h atoms has a mass of approximately 1 gram. 21/11/2020 · atomic mass of hydrogen. To make up 1 kilogram or 1000 g of hydrogen element, 1000 moles of hydrogen is required. Atomic mass of hydrogen is 1.0079 u. The atomic mass of hydrogen is 1 g/mole. (6.02×10 23atoms) of hydrogen weigh 1.008 g. Thus, weight of 1 atom of hydrogen is 6.02×10 231.008... Whereas one hydrogen atom has a mass of approximately 1 u, 1 mol of h atoms has a mass of approximately 1 gram.
Atomic mass of hydrogen is 1.0079 u. Thus, 1 kg hydrogen element or 1000 moles of hydrogen have atoms (or 1000 times the avogadro's number). Whereas one hydrogen atom has a mass of approximately 1 u, 1 mol of h atoms has a mass of approximately 1 gram. Atomic mass of hydrogen is 1.0079 u. 7 sor · 21/11/2020 · atomic mass of hydrogen. Atomic mass of hydrogen is 1.0079 u. The atomic mass is the.

To make up 1 kilogram or 1000 g of hydrogen element, 1000 moles of hydrogen is required... .. And whereas one sodium atom has an approximate mass of 23 u, 1 mol of na atoms has an approximate mass of 23 grams.

The atomic mass or relative isotopic mass refers to the mass of a single particle, and therefore is tied to a certain specific isotope of an element. Each mole has a avogadro's number of atoms or atoms. To make up 1 kilogram or 1000 g of hydrogen element, 1000 moles of hydrogen is required. That conversion is based on one atomic measurement unit of atomic mass for an atom of hydrogen. The atomic mass of hydrogen is 1 g/mole. 7 sor · 21/11/2020 · atomic mass of hydrogen. Thus, 1 kg hydrogen element or 1000 moles of hydrogen have atoms (or 1000 times the avogadro's number). 18/01/2020 · simply so, how much does a hydrogen atom weigh in kg? Thus, weight of 1 atom of hydrogen is 6.02×10 231.008. The atomic mass is the. And whereas one sodium atom has an approximate mass of 23 u, 1 mol of na atoms has an approximate mass of 23 grams. Thus, weight of 1 atom of hydrogen is 6.02×10 231.008.

Each mole has a avogadro's number of atoms or atoms. The atomic mass is the. Atomic mass of hydrogen is 1.0079 u. To make up 1 kilogram or 1000 g of hydrogen element, 1000 moles of hydrogen is required. The atomic mass is the mass of an atom. 18/01/2020 · simply so, how much does a hydrogen atom weigh in kg? To make up 1 kilogram or 1000 g of hydrogen element, 1000 moles of hydrogen is required.

The atomic mass of hydrogen is 1 g/mole... .. To make up 1 kilogram or 1000 g of hydrogen element, 1000 moles of hydrogen is required.
The atomic mass is the. The atomic mass is the mass of an atom. The atomic mass is the. The atomic mass of hydrogen is 1 g/mole. Atomic mass of hydrogen is 1.0079 u. To make up 1 kilogram or 1000 g of hydrogen element, 1000 moles of hydrogen is required. The atomic mass or relative isotopic mass refers to the mass of a single particle, and therefore is tied to a certain specific isotope of an element. 18/01/2020 · simply so, how much does a hydrogen atom weigh in kg?

7 sor · 21/11/2020 · atomic mass of hydrogen. The atomic mass of hydrogen is 1 g/mole. Whereas one hydrogen atom has a mass of approximately 1 u, 1 mol of h atoms has a mass of approximately 1 gram. The atomic mass or relative isotopic mass refers to the mass of a single particle, and therefore is tied to a certain specific isotope of an element. 18/01/2020 · simply so, how much does a hydrogen atom weigh in kg? And whereas one sodium atom has an approximate mass of 23 u, 1 mol of na atoms has an approximate mass of 23 grams. Atomic mass of hydrogen is 1.0079 u. Thus, weight of 1 atom of hydrogen is 6.02×10 231.008. Atomic mass of hydrogen is 1.0079 u.

That conversion is based on one atomic measurement unit of atomic mass for an atom of hydrogen. The atomic mass or relative isotopic mass refers to the mass of a single particle, and therefore is tied to a certain specific isotope of an element. (6.02×10 23atoms) of hydrogen weigh 1.008 g. Thus, weight of 1 atom of hydrogen is 6.02×10 231.008. To make up 1 kilogram or 1000 g of hydrogen element, 1000 moles of hydrogen is required. The atomic mass of hydrogen is 1 g/mole. The atomic mass is the. Thus, 1 kg hydrogen element or 1000 moles of hydrogen have atoms (or 1000 times the avogadro's number). And whereas one sodium atom has an approximate mass of 23 u, 1 mol of na atoms has an approximate mass of 23 grams. To make up 1 kilogram or 1000 g of hydrogen element, 1000 moles of hydrogen is required.

The atomic mass or relative isotopic mass refers to the mass of a single particle, and therefore is tied to a certain specific isotope of an element. 21/11/2020 · atomic mass of hydrogen. The atomic mass is the mass of an atom. Atomic mass of hydrogen is 1.0079 u. 7 sor · 21/11/2020 · atomic mass of hydrogen. That conversion is based on one atomic measurement unit of atomic mass for an atom of hydrogen. To make up 1 kilogram or 1000 g of hydrogen element, 1000 moles of hydrogen is required. (6.02×10 23atoms) of hydrogen weigh 1.008 g. And whereas one sodium atom has an approximate mass of 23 u, 1 mol of na atoms has an approximate mass of 23 grams. The atomic mass or relative isotopic mass refers to the mass of a single particle, and therefore is tied to a certain specific isotope of an element. 18/01/2020 · simply so, how much does a hydrogen atom weigh in kg?

The atomic mass is the mass of an atom. The atomic mass or relative isotopic mass refers to the mass of a single particle, and therefore is tied to a certain specific isotope of an element. 18/01/2020 · simply so, how much does a hydrogen atom weigh in kg? The atomic mass is the. That conversion is based on one atomic measurement unit of atomic mass for an atom of hydrogen. (6.02×10 23atoms) of hydrogen weigh 1.008 g. That conversion is based on one atomic measurement unit of atomic mass for an atom of hydrogen.

Thus, 1 kg hydrogen element or 1000 moles of hydrogen have atoms (or 1000 times the avogadro's number). Each mole has a avogadro's number of atoms or atoms. The atomic mass of hydrogen is 1 g/mole. 21/11/2020 · atomic mass of hydrogen... Thus, weight of 1 atom of hydrogen is 6.02×10 231.008.

Atomic mass of hydrogen is 1.0079 u. 21/11/2020 · atomic mass of hydrogen. Thus, 1 kg hydrogen element or 1000 moles of hydrogen have atoms (or 1000 times the avogadro's number). The atomic mass is the mass of an atom. And whereas one sodium atom has an approximate mass of 23 u, 1 mol of na atoms has an approximate mass of 23 grams. The atomic mass is the. That conversion is based on one atomic measurement unit of atomic mass for an atom of hydrogen. (6.02×10 23atoms) of hydrogen weigh 1.008 g. The atomic mass or relative isotopic mass refers to the mass of a single particle, and therefore is tied to a certain specific isotope of an element. Atomic mass of hydrogen is 1.0079 u. The atomic mass of hydrogen is 1 g/mole.

Thus, weight of 1 atom of hydrogen is 6.02×10 231.008... The atomic mass is the mass of an atom. The atomic mass is the. Atomic mass of hydrogen is 1.0079 u. And whereas one sodium atom has an approximate mass of 23 u, 1 mol of na atoms has an approximate mass of 23 grams. To make up 1 kilogram or 1000 g of hydrogen element, 1000 moles of hydrogen is required. 21/11/2020 · atomic mass of hydrogen. That conversion is based on one atomic measurement unit of atomic mass for an atom of hydrogen. The atomic mass or relative isotopic mass refers to the mass of a single particle, and therefore is tied to a certain specific isotope of an element.

Thus, weight of 1 atom of hydrogen is 6.02×10 231.008.. And whereas one sodium atom has an approximate mass of 23 u, 1 mol of na atoms has an approximate mass of 23 grams.. 7 sor · 21/11/2020 · atomic mass of hydrogen.

Atomic mass of hydrogen is 1.0079 u. Each mole has a avogadro's number of atoms or atoms. Thus, weight of 1 atom of hydrogen is 6.02×10 231.008. That conversion is based on one atomic measurement unit of atomic mass for an atom of hydrogen. The atomic mass is the mass of an atom. To make up 1 kilogram or 1000 g of hydrogen element, 1000 moles of hydrogen is required. The atomic mass is the. Thus, 1 kg hydrogen element or 1000 moles of hydrogen have atoms (or 1000 times the avogadro's number). The atomic mass or relative isotopic mass refers to the mass of a single particle, and therefore is tied to a certain specific isotope of an element. 18/01/2020 · simply so, how much does a hydrogen atom weigh in kg? Atomic mass of hydrogen is 1.0079 u.. 7 sor · 21/11/2020 · atomic mass of hydrogen.

The atomic mass or relative isotopic mass refers to the mass of a single particle, and therefore is tied to a certain specific isotope of an element... The atomic mass of hydrogen is 1 g/mole.
The atomic mass or relative isotopic mass refers to the mass of a single particle, and therefore is tied to a certain specific isotope of an element. Each mole has a avogadro's number of atoms or atoms. The atomic mass of hydrogen is 1 g/mole. The atomic mass or relative isotopic mass refers to the mass of a single particle, and therefore is tied to a certain specific isotope of an element.

18/01/2020 · simply so, how much does a hydrogen atom weigh in kg?. The atomic mass is the.

That conversion is based on one atomic measurement unit of atomic mass for an atom of hydrogen.. 7 sor · 21/11/2020 · atomic mass of hydrogen. Thus, 1 kg hydrogen element or 1000 moles of hydrogen have atoms (or 1000 times the avogadro's number). The atomic mass or relative isotopic mass refers to the mass of a single particle, and therefore is tied to a certain specific isotope of an element. The atomic mass is the mass of an atom. 18/01/2020 · simply so, how much does a hydrogen atom weigh in kg? That conversion is based on one atomic measurement unit of atomic mass for an atom of hydrogen. Whereas one hydrogen atom has a mass of approximately 1 u, 1 mol of h atoms has a mass of approximately 1 gram.

The atomic mass or relative isotopic mass refers to the mass of a single particle, and therefore is tied to a certain specific isotope of an element. The atomic mass of hydrogen is 1 g/mole. The atomic mass is the mass of an atom. Thus, weight of 1 atom of hydrogen is 6.02×10 231.008.

18/01/2020 · simply so, how much does a hydrogen atom weigh in kg? Atomic mass of hydrogen is 1.0079 u. The atomic mass is the mass of an atom. Thus, weight of 1 atom of hydrogen is 6.02×10 231.008. And whereas one sodium atom has an approximate mass of 23 u, 1 mol of na atoms has an approximate mass of 23 grams. The atomic mass of hydrogen is 1 g/mole. That conversion is based on one atomic measurement unit of atomic mass for an atom of hydrogen. To make up 1 kilogram or 1000 g of hydrogen element, 1000 moles of hydrogen is required. The atomic mass of hydrogen is 1 g/mole.
The atomic mass is the.. 21/11/2020 · atomic mass of hydrogen.. Atomic mass of hydrogen is 1.0079 u.

Atomic mass of hydrogen is 1.0079 u. 21/11/2020 · atomic mass of hydrogen. Thus, weight of 1 atom of hydrogen is 6.02×10 231.008. And whereas one sodium atom has an approximate mass of 23 u, 1 mol of na atoms has an approximate mass of 23 grams. (6.02×10 23atoms) of hydrogen weigh 1.008 g. To make up 1 kilogram or 1000 g of hydrogen element, 1000 moles of hydrogen is required. Atomic mass of hydrogen is 1.0079 u. Each mole has a avogadro's number of atoms or atoms. Whereas one hydrogen atom has a mass of approximately 1 u, 1 mol of h atoms has a mass of approximately 1 gram. That conversion is based on one atomic measurement unit of atomic mass for an atom of hydrogen. The atomic mass is the mass of an atom. Whereas one hydrogen atom has a mass of approximately 1 u, 1 mol of h atoms has a mass of approximately 1 gram.

Atomic mass of hydrogen is 1.0079 u. The atomic mass or relative isotopic mass refers to the mass of a single particle, and therefore is tied to a certain specific isotope of an element. Thus, weight of 1 atom of hydrogen is 6.02×10 231.008. The atomic mass of hydrogen is 1 g/mole. The atomic mass is the. Thus, 1 kg hydrogen element or 1000 moles of hydrogen have atoms (or 1000 times the avogadro's number). Each mole has a avogadro's number of atoms or atoms. The atomic mass is the mass of an atom. And whereas one sodium atom has an approximate mass of 23 u, 1 mol of na atoms has an approximate mass of 23 grams. 21/11/2020 · atomic mass of hydrogen.

Each mole has a avogadro's number of atoms or atoms. 21/11/2020 · atomic mass of hydrogen. And whereas one sodium atom has an approximate mass of 23 u, 1 mol of na atoms has an approximate mass of 23 grams. 7 sor · 21/11/2020 · atomic mass of hydrogen.

The atomic mass is the mass of an atom... . To make up 1 kilogram or 1000 g of hydrogen element, 1000 moles of hydrogen is required.
Atomic mass of hydrogen is 1.0079 u. The atomic mass or relative isotopic mass refers to the mass of a single particle, and therefore is tied to a certain specific isotope of an element. (6.02×10 23atoms) of hydrogen weigh 1.008 g. 7 sor · 21/11/2020 · atomic mass of hydrogen. 21/11/2020 · atomic mass of hydrogen.. And whereas one sodium atom has an approximate mass of 23 u, 1 mol of na atoms has an approximate mass of 23 grams.

Each mole has a avogadro's number of atoms or atoms... The atomic mass is the mass of an atom. (6.02×10 23atoms) of hydrogen weigh 1.008 g. To make up 1 kilogram or 1000 g of hydrogen element, 1000 moles of hydrogen is required. Atomic mass of hydrogen is 1.0079 u. Each mole has a avogadro's number of atoms or atoms. 21/11/2020 · atomic mass of hydrogen. 18/01/2020 · simply so, how much does a hydrogen atom weigh in kg? Atomic mass of hydrogen is 1.0079 u. The atomic mass of hydrogen is 1 g/mole. 7 sor · 21/11/2020 · atomic mass of hydrogen. Atomic mass of hydrogen is 1.0079 u.

The atomic mass is the mass of an atom. Each mole has a avogadro's number of atoms or atoms. And whereas one sodium atom has an approximate mass of 23 u, 1 mol of na atoms has an approximate mass of 23 grams. 7 sor · 21/11/2020 · atomic mass of hydrogen. The atomic mass is the. 18/01/2020 · simply so, how much does a hydrogen atom weigh in kg?

Thus, 1 kg hydrogen element or 1000 moles of hydrogen have atoms (or 1000 times the avogadro's number). Thus, 1 kg hydrogen element or 1000 moles of hydrogen have atoms (or 1000 times the avogadro's number). The atomic mass or relative isotopic mass refers to the mass of a single particle, and therefore is tied to a certain specific isotope of an element. (6.02×10 23atoms) of hydrogen weigh 1.008 g. To make up 1 kilogram or 1000 g of hydrogen element, 1000 moles of hydrogen is required. The atomic mass is the. Thus, weight of 1 atom of hydrogen is 6.02×10 231.008. The atomic mass is the mass of an atom. Thus, weight of 1 atom of hydrogen is 6.02×10 231.008.

(6.02×10 23atoms) of hydrogen weigh 1.008 g... Thus, 1 kg hydrogen element or 1000 moles of hydrogen have atoms (or 1000 times the avogadro's number). The atomic mass or relative isotopic mass refers to the mass of a single particle, and therefore is tied to a certain specific isotope of an element. Whereas one hydrogen atom has a mass of approximately 1 u, 1 mol of h atoms has a mass of approximately 1 gram. 7 sor · 21/11/2020 · atomic mass of hydrogen. That conversion is based on one atomic measurement unit of atomic mass for an atom of hydrogen. To make up 1 kilogram or 1000 g of hydrogen element, 1000 moles of hydrogen is required.. Atomic mass of hydrogen is 1.0079 u.

The atomic mass is the. 18/01/2020 · simply so, how much does a hydrogen atom weigh in kg? 21/11/2020 · atomic mass of hydrogen. Each mole has a avogadro's number of atoms or atoms. The atomic mass is the mass of an atom. And whereas one sodium atom has an approximate mass of 23 u, 1 mol of na atoms has an approximate mass of 23 grams. Atomic mass of hydrogen is 1.0079 u. To make up 1 kilogram or 1000 g of hydrogen element, 1000 moles of hydrogen is required. (6.02×10 23atoms) of hydrogen weigh 1.008 g. Thus, 1 kg hydrogen element or 1000 moles of hydrogen have atoms (or 1000 times the avogadro's number). And whereas one sodium atom has an approximate mass of 23 u, 1 mol of na atoms has an approximate mass of 23 grams.

21/11/2020 · atomic mass of hydrogen. (6.02×10 23atoms) of hydrogen weigh 1.008 g. The atomic mass or relative isotopic mass refers to the mass of a single particle, and therefore is tied to a certain specific isotope of an element. 7 sor · 21/11/2020 · atomic mass of hydrogen. Atomic mass of hydrogen is 1.0079 u. That conversion is based on one atomic measurement unit of atomic mass for an atom of hydrogen. Whereas one hydrogen atom has a mass of approximately 1 u, 1 mol of h atoms has a mass of approximately 1 gram. Thus, 1 kg hydrogen element or 1000 moles of hydrogen have atoms (or 1000 times the avogadro's number)... The atomic mass of hydrogen is 1 g/mole.

That conversion is based on one atomic measurement unit of atomic mass for an atom of hydrogen. Atomic mass of hydrogen is 1.0079 u... (6.02×10 23atoms) of hydrogen weigh 1.008 g.

The atomic mass or relative isotopic mass refers to the mass of a single particle, and therefore is tied to a certain specific isotope of an element. 21/11/2020 · atomic mass of hydrogen.

18/01/2020 · simply so, how much does a hydrogen atom weigh in kg? And whereas one sodium atom has an approximate mass of 23 u, 1 mol of na atoms has an approximate mass of 23 grams. Thus, weight of 1 atom of hydrogen is 6.02×10 231.008. To make up 1 kilogram or 1000 g of hydrogen element, 1000 moles of hydrogen is required. Atomic mass of hydrogen is 1.0079 u. Whereas one hydrogen atom has a mass of approximately 1 u, 1 mol of h atoms has a mass of approximately 1 gram. That conversion is based on one atomic measurement unit of atomic mass for an atom of hydrogen... Atomic mass of hydrogen is 1.0079 u.

Thus, 1 kg hydrogen element or 1000 moles of hydrogen have atoms (or 1000 times the avogadro's number). 7 sor · 21/11/2020 · atomic mass of hydrogen. And whereas one sodium atom has an approximate mass of 23 u, 1 mol of na atoms has an approximate mass of 23 grams. The atomic mass of hydrogen is 1 g/mole. Each mole has a avogadro's number of atoms or atoms. That conversion is based on one atomic measurement unit of atomic mass for an atom of hydrogen. The atomic mass or relative isotopic mass refers to the mass of a single particle, and therefore is tied to a certain specific isotope of an element. 18/01/2020 · simply so, how much does a hydrogen atom weigh in kg? Thus, 1 kg hydrogen element or 1000 moles of hydrogen have atoms (or 1000 times the avogadro's number). The atomic mass is the mass of an atom. The atomic mass is the mass of an atom.

Atomic mass of hydrogen is 1.0079 u... 7 sor · 21/11/2020 · atomic mass of hydrogen. Whereas one hydrogen atom has a mass of approximately 1 u, 1 mol of h atoms has a mass of approximately 1 gram. Atomic mass of hydrogen is 1.0079 u. Thus, 1 kg hydrogen element or 1000 moles of hydrogen have atoms (or 1000 times the avogadro's number). And whereas one sodium atom has an approximate mass of 23 u, 1 mol of na atoms has an approximate mass of 23 grams. (6.02×10 23atoms) of hydrogen weigh 1.008 g. Each mole has a avogadro's number of atoms or atoms. The atomic mass or relative isotopic mass refers to the mass of a single particle, and therefore is tied to a certain specific isotope of an element. The atomic mass is the mass of an atom.

Whereas one hydrogen atom has a mass of approximately 1 u, 1 mol of h atoms has a mass of approximately 1 gram... The atomic mass is the mass of an atom. Each mole has a avogadro's number of atoms or atoms. The atomic mass of hydrogen is 1 g/mole. The atomic mass is the.. 21/11/2020 · atomic mass of hydrogen.

The atomic mass or relative isotopic mass refers to the mass of a single particle, and therefore is tied to a certain specific isotope of an element. The atomic mass is the mass of an atom. Thus, 1 kg hydrogen element or 1000 moles of hydrogen have atoms (or 1000 times the avogadro's number). 21/11/2020 · atomic mass of hydrogen. Thus, weight of 1 atom of hydrogen is 6.02×10 231.008. The atomic mass or relative isotopic mass refers to the mass of a single particle, and therefore is tied to a certain specific isotope of an element. Whereas one hydrogen atom has a mass of approximately 1 u, 1 mol of h atoms has a mass of approximately 1 gram. To make up 1 kilogram or 1000 g of hydrogen element, 1000 moles of hydrogen is required. The atomic mass of hydrogen is 1 g/mole.. Whereas one hydrogen atom has a mass of approximately 1 u, 1 mol of h atoms has a mass of approximately 1 gram.

To make up 1 kilogram or 1000 g of hydrogen element, 1000 moles of hydrogen is required. 21/11/2020 · atomic mass of hydrogen. Whereas one hydrogen atom has a mass of approximately 1 u, 1 mol of h atoms has a mass of approximately 1 gram. 7 sor · 21/11/2020 · atomic mass of hydrogen. Thus, weight of 1 atom of hydrogen is 6.02×10 231.008. Atomic mass of hydrogen is 1.0079 u. 18/01/2020 · simply so, how much does a hydrogen atom weigh in kg? The atomic mass is the. Atomic mass of hydrogen is 1.0079 u... (6.02×10 23atoms) of hydrogen weigh 1.008 g.

18/01/2020 · simply so, how much does a hydrogen atom weigh in kg?. And whereas one sodium atom has an approximate mass of 23 u, 1 mol of na atoms has an approximate mass of 23 grams. 18/01/2020 · simply so, how much does a hydrogen atom weigh in kg? The atomic mass is the. The atomic mass is the mass of an atom... And whereas one sodium atom has an approximate mass of 23 u, 1 mol of na atoms has an approximate mass of 23 grams.

The atomic mass or relative isotopic mass refers to the mass of a single particle, and therefore is tied to a certain specific isotope of an element... The atomic mass is the. That conversion is based on one atomic measurement unit of atomic mass for an atom of hydrogen. The atomic mass of hydrogen is 1 g/mole.. Thus, 1 kg hydrogen element or 1000 moles of hydrogen have atoms (or 1000 times the avogadro's number).

(6.02×10 23atoms) of hydrogen weigh 1.008 g. 7 sor · 21/11/2020 · atomic mass of hydrogen. Thus, weight of 1 atom of hydrogen is 6.02×10 231.008. To make up 1 kilogram or 1000 g of hydrogen element, 1000 moles of hydrogen is required. (6.02×10 23atoms) of hydrogen weigh 1.008 g. Atomic mass of hydrogen is 1.0079 u. And whereas one sodium atom has an approximate mass of 23 u, 1 mol of na atoms has an approximate mass of 23 grams. That conversion is based on one atomic measurement unit of atomic mass for an atom of hydrogen.. Thus, weight of 1 atom of hydrogen is 6.02×10 231.008.

To make up 1 kilogram or 1000 g of hydrogen element, 1000 moles of hydrogen is required. That conversion is based on one atomic measurement unit of atomic mass for an atom of hydrogen. Thus, 1 kg hydrogen element or 1000 moles of hydrogen have atoms (or 1000 times the avogadro's number). Atomic mass of hydrogen is 1.0079 u. (6.02×10 23atoms) of hydrogen weigh 1.008 g. The atomic mass of hydrogen is 1 g/mole.. The atomic mass of hydrogen is 1 g/mole.
Each mole has a avogadro's number of atoms or atoms... And whereas one sodium atom has an approximate mass of 23 u, 1 mol of na atoms has an approximate mass of 23 grams. (6.02×10 23atoms) of hydrogen weigh 1.008 g. Each mole has a avogadro's number of atoms or atoms. Atomic mass of hydrogen is 1.0079 u. Thus, weight of 1 atom of hydrogen is 6.02×10 231.008. The atomic mass is the mass of an atom. (6.02×10 23atoms) of hydrogen weigh 1.008 g.

And whereas one sodium atom has an approximate mass of 23 u, 1 mol of na atoms has an approximate mass of 23 grams. That conversion is based on one atomic measurement unit of atomic mass for an atom of hydrogen. The atomic mass is the. (6.02×10 23atoms) of hydrogen weigh 1.008 g. The atomic mass is the mass of an atom.. Whereas one hydrogen atom has a mass of approximately 1 u, 1 mol of h atoms has a mass of approximately 1 gram.

The atomic mass or relative isotopic mass refers to the mass of a single particle, and therefore is tied to a certain specific isotope of an element... Whereas one hydrogen atom has a mass of approximately 1 u, 1 mol of h atoms has a mass of approximately 1 gram. The atomic mass is the. Atomic mass of hydrogen is 1.0079 u. The atomic mass of hydrogen is 1 g/mole.. 18/01/2020 · simply so, how much does a hydrogen atom weigh in kg?

Atomic mass of hydrogen is 1.0079 u. And whereas one sodium atom has an approximate mass of 23 u, 1 mol of na atoms has an approximate mass of 23 grams.
Atomic mass of hydrogen is 1.0079 u. Thus, 1 kg hydrogen element or 1000 moles of hydrogen have atoms (or 1000 times the avogadro's number). Atomic mass of hydrogen is 1.0079 u. To make up 1 kilogram or 1000 g of hydrogen element, 1000 moles of hydrogen is required. 18/01/2020 · simply so, how much does a hydrogen atom weigh in kg? The atomic mass is the. Each mole has a avogadro's number of atoms or atoms. And whereas one sodium atom has an approximate mass of 23 u, 1 mol of na atoms has an approximate mass of 23 grams. 7 sor · 21/11/2020 · atomic mass of hydrogen. Each mole has a avogadro's number of atoms or atoms.

The atomic mass is the mass of an atom.. The atomic mass is the. The atomic mass is the mass of an atom. The atomic mass or relative isotopic mass refers to the mass of a single particle, and therefore is tied to a certain specific isotope of an element. The atomic mass of hydrogen is 1 g/mole. Atomic mass of hydrogen is 1.0079 u.. Thus, weight of 1 atom of hydrogen is 6.02×10 231.008.

And whereas one sodium atom has an approximate mass of 23 u, 1 mol of na atoms has an approximate mass of 23 grams. 21/11/2020 · atomic mass of hydrogen. The atomic mass is the mass of an atom. 7 sor · 21/11/2020 · atomic mass of hydrogen. 18/01/2020 · simply so, how much does a hydrogen atom weigh in kg? Thus, weight of 1 atom of hydrogen is 6.02×10 231.008. (6.02×10 23atoms) of hydrogen weigh 1.008 g. Whereas one hydrogen atom has a mass of approximately 1 u, 1 mol of h atoms has a mass of approximately 1 gram. Atomic mass of hydrogen is 1.0079 u. Each mole has a avogadro's number of atoms or atoms. That conversion is based on one atomic measurement unit of atomic mass for an atom of hydrogen. The atomic mass is the.
To make up 1 kilogram or 1000 g of hydrogen element, 1000 moles of hydrogen is required... . 7 sor · 21/11/2020 · atomic mass of hydrogen.

Atomic mass of hydrogen is 1.0079 u. 21/11/2020 · atomic mass of hydrogen.

Whereas one hydrogen atom has a mass of approximately 1 u, 1 mol of h atoms has a mass of approximately 1 gram. Whereas one hydrogen atom has a mass of approximately 1 u, 1 mol of h atoms has a mass of approximately 1 gram. Atomic mass of hydrogen is 1.0079 u. (6.02×10 23atoms) of hydrogen weigh 1.008 g. 7 sor · 21/11/2020 · atomic mass of hydrogen. The atomic mass is the. The atomic mass of hydrogen is 1 g/mole. Thus, weight of 1 atom of hydrogen is 6.02×10 231.008.. 7 sor · 21/11/2020 · atomic mass of hydrogen.

The atomic mass is the. Each mole has a avogadro's number of atoms or atoms. The atomic mass of hydrogen is 1 g/mole. The atomic mass is the mass of an atom. Thus, weight of 1 atom of hydrogen is 6.02×10 231.008. The atomic mass or relative isotopic mass refers to the mass of a single particle, and therefore is tied to a certain specific isotope of an element. (6.02×10 23atoms) of hydrogen weigh 1.008 g. 7 sor · 21/11/2020 · atomic mass of hydrogen. Atomic mass of hydrogen is 1.0079 u. To make up 1 kilogram or 1000 g of hydrogen element, 1000 moles of hydrogen is required. Whereas one hydrogen atom has a mass of approximately 1 u, 1 mol of h atoms has a mass of approximately 1 gram.. To make up 1 kilogram or 1000 g of hydrogen element, 1000 moles of hydrogen is required.

Atomic mass of hydrogen is 1.0079 u. . 21/11/2020 · atomic mass of hydrogen.

21/11/2020 · atomic mass of hydrogen.. Atomic mass of hydrogen is 1.0079 u. To make up 1 kilogram or 1000 g of hydrogen element, 1000 moles of hydrogen is required. The atomic mass of hydrogen is 1 g/mole. (6.02×10 23atoms) of hydrogen weigh 1.008 g. Thus, weight of 1 atom of hydrogen is 6.02×10 231.008. The atomic mass or relative isotopic mass refers to the mass of a single particle, and therefore is tied to a certain specific isotope of an element.. The atomic mass of hydrogen is 1 g/mole.

And whereas one sodium atom has an approximate mass of 23 u, 1 mol of na atoms has an approximate mass of 23 grams.. Thus, 1 kg hydrogen element or 1000 moles of hydrogen have atoms (or 1000 times the avogadro's number). And whereas one sodium atom has an approximate mass of 23 u, 1 mol of na atoms has an approximate mass of 23 grams. Whereas one hydrogen atom has a mass of approximately 1 u, 1 mol of h atoms has a mass of approximately 1 gram. The atomic mass is the mass of an atom. Atomic mass of hydrogen is 1.0079 u. And whereas one sodium atom has an approximate mass of 23 u, 1 mol of na atoms has an approximate mass of 23 grams.
Whereas one hydrogen atom has a mass of approximately 1 u, 1 mol of h atoms has a mass of approximately 1 gram. .. 18/01/2020 · simply so, how much does a hydrogen atom weigh in kg?

Atomic mass of hydrogen is 1.0079 u... Each mole has a avogadro's number of atoms or atoms. 7 sor · 21/11/2020 · atomic mass of hydrogen. Whereas one hydrogen atom has a mass of approximately 1 u, 1 mol of h atoms has a mass of approximately 1 gram. That conversion is based on one atomic measurement unit of atomic mass for an atom of hydrogen. 21/11/2020 · atomic mass of hydrogen.. Whereas one hydrogen atom has a mass of approximately 1 u, 1 mol of h atoms has a mass of approximately 1 gram.

Thus, weight of 1 atom of hydrogen is 6.02×10 231.008. That conversion is based on one atomic measurement unit of atomic mass for an atom of hydrogen. And whereas one sodium atom has an approximate mass of 23 u, 1 mol of na atoms has an approximate mass of 23 grams. Thus, 1 kg hydrogen element or 1000 moles of hydrogen have atoms (or 1000 times the avogadro's number). 18/01/2020 · simply so, how much does a hydrogen atom weigh in kg? The atomic mass or relative isotopic mass refers to the mass of a single particle, and therefore is tied to a certain specific isotope of an element. To make up 1 kilogram or 1000 g of hydrogen element, 1000 moles of hydrogen is required... 18/01/2020 · simply so, how much does a hydrogen atom weigh in kg?

The atomic mass or relative isotopic mass refers to the mass of a single particle, and therefore is tied to a certain specific isotope of an element... And whereas one sodium atom has an approximate mass of 23 u, 1 mol of na atoms has an approximate mass of 23 grams. Thus, weight of 1 atom of hydrogen is 6.02×10 231.008. That conversion is based on one atomic measurement unit of atomic mass for an atom of hydrogen. Thus, 1 kg hydrogen element or 1000 moles of hydrogen have atoms (or 1000 times the avogadro's number). 7 sor · 21/11/2020 · atomic mass of hydrogen. The atomic mass is the mass of an atom. The atomic mass or relative isotopic mass refers to the mass of a single particle, and therefore is tied to a certain specific isotope of an element. The atomic mass of hydrogen is 1 g/mole. 18/01/2020 · simply so, how much does a hydrogen atom weigh in kg? Whereas one hydrogen atom has a mass of approximately 1 u, 1 mol of h atoms has a mass of approximately 1 gram... The atomic mass is the mass of an atom.